Indoor Air Quality, Healthy Buildings, and Breathing Walls          ---  Also see RADON issues, link here ---

By: J.F. Straube1 and V. Acahrya2

Indoor air quality is an important issue from both a social and economic point of view. There are several design strategies that can be used to deliver good IAQ. Controlled ventilation, proper design, and the use of appropriate healthy building materials can provide good indoor air quality if used in as part of a holistic design approach. As part of a complete IAQ design strategy, so-called breathing walls can moderate indoor humidity and practically eliminate the potential for fungal growth on building surfaces.

This paper reviews the three basic design strategies for IAQ, and the role of breathing walls. The physics of breathing walls are discussed, and the ways in which such walls can improve IAQ are outlined. A research program directed at exploring the properties of low-density cement-bonded wood fibre (Durisol) is described. The research included material tests, field monitoring of full-scale walls, and computer modelling. Some results of this research are presented and discussed.

Supported by calculations and field data, it is concluded that IAQ can be greatly improved by using a holistic approach to building design. Breathing walls made of vapour permeable and highly hygroscopic materials, such as Durisol and strawbales, can enhance IAQ when used in conjunction with other strategies.

1 Research Engineer, Building Engineering Group, Civil Engineering Department, University of Waterloo, Waterloo, Ontario, Canada, N2L 3G1.

2 Vice-president, Durisol Building Systems Ltd., 95 Frid St., Hamilton, Ontario, Canada, L8P 4M3.

Indoor Air Quality, Healthy Housing, and Breathing Walls

J.F. Straube1and V. Acahrya

Introduction

In industrialised countries most people spend more than 90% of their lives inside buildings. During this time the nature of the enclosed environment directly affects the health, quality of life, and productivity of the occupants.

Modern buildings, however, clearly have a problem providing a healthy or even appropriate indoor environment. The US Environmental Protection Agency (EPA) concedes that about 30% of new or renovated buildings have serious indoor air quality problems (IAQ), and ranks IAQ as our most prominent environmental problem (Roodman and Lenssen, 1995). In fact, recent estimates place the direct health care costs of poor IAQ in the US at $30 billion, with sick leave and productivity losses adding another almost $100 billion annually (Fisk and Rosenfeld, 1997).

Extensive measurements by numerous agencies have shown that the typical modern home contains a chemical soup of volatile organic compounds (VOCís) like formaldehyde, xylene, isobutylaldehyde, vinyl chloride monomer, and other organochlorides, aldehydes and phenols from all kinds of manufactured wood products, paints, carpets, and synthetic textiles including furniture and carpets, plastics, foam, tile and carpet glue, etc.

Radon from the soil, ozone from some electrical appliances, and micron-sized particles from many sources add to the health risk. The EPA and Surgeon General estimate between 5000 and 20 000 deaths per year can be attributed to radon gas in the US, where it is the second leading cause of lung cancer (Marinelli and Bierman-Lyle 1995).

Airborne particulates, especially those less than about ten microns in diameter, can seriously damage the lung. Small particles can penetrate deeper into the lung, while larger particles are filtered out by the bodyís natural defences.

A major concern in many cold-climate countries is the growing number of studies that link allergies, immuno-depression, and illness to the amount and type of fungal growth in a building (e.g., see Health and Welfare Canada 1987, Scanada 1995). By avoiding surface relative humidities in excess of about 80% RH fungal spores, unavoidable in all buildings, will be starved of the moisture they need to survive. Mould growth within the building envelope can also affect health if an interior air barrier is not present.

 

Design Strategies for Indoor Air Quality

Several basic strategies can be employed in the design, construction, and operation of buildings to dramatically reduce the presence and concentrations of indoor air pollutants.

Avoidance

The first line of attack should always be the avoidance of products that contain solvents, glues and plastics. There is an increasing number of commercial sources of natural paints, glues, materials, and systems that can be economically substituted for the most dangerous building materials, e.g., particle board, waferboard, carpet, foams, paint (Pearson 1994, Baggs 1996). The use of natural (and unpainted) lime-cement plasters and solid wood as wall finishes, and concrete, linoleum, solid wood, and ceramic tiles for floor finishes can reduce total VOC concentrations by an order of magnitude. Occupants and maintenance staff must also avoid the use of materials and products that might affect IAQ.

Avoiding fungal growth can be difficult if the surface humidity is over about 80%; the paper facing of drywall is an ideal mould growing substrate, and even ceramic tiles will allow mould growth if soap and skin residue remain on their surface. Maintaining a high, and uniform, wall temperature will ensure that the surface relative humidity remains only slightly above the interior humidity. Thermal bridging at framing members, especially steel studs, can result in dramatically lower surface temperatures and much higher surface humidities. Moderating variations in indoor relative humidity through the liberal use of hygroscopic and "breathable" materials can virtually eliminate the potential for fungal growth. A complementary approach is the use of finishes which do not provide food for fungi and/or have a high pH; virtually no fungi can survive on surfaces with a pH over about 10.

Removal

The second step in improving IAQ is pollutant removal. A building should be designed to remove pollutants down to at least the level of the outdoor air, if not lower. This involves increased volumes of, and more controllable, ventilation, porous adsorbers, and plants. Hygroscopic materials moderate RH and can permanently adsorb some VOCís. Plants such as Devilís Claw and spider plants measurably improve IAQ by filtering and humidifying the air while consuming CO2. Any falling or running water will act as a powerful particulate filter by trapping particles.

Studies have shown that 75% of all damaging airborne particulates originate in the exterior air (Turpin, 1997). The proportion is likely higher in healthy homes, which should produce fewer particulates. A combination of an airtight building enclosure and high quality filtration of ventilation air, by mechanical or natural means, can be used to greatly reduce the number of particulates.

Exclusion

Exclusion is the third principle of good IAQ design. Radon control, for example, requires an airtight floor and/or basement system. Exclusion of radon from the interior environment must be a serious design consideration because of the serious consequences of exposure. Ventilation of living areas (i.e., removal) does aid radon control, but it is imperative to first design and build the ground floor or basement as airtight as possible to avoid penetration into the building.

Exclusion of outdoor particulates requires an airtight above-grade building envelope. If the air barrier system is applied to the interior side it can control off-gasing, particulates, and mould spores from within the enclosure system.

The Systems Approach

None of these principles can provide indoor air quality on their own: a holistic approach is necessary. Avoiding materials which offgas is a useful and necessary approach, but ventilation, air barriers, humidity control, and high surface temperatures working together can provide much better IAQ than either approach used independently.

"Atmungsfaehig" or Breathable Walls

"Breathing" walls are often recommended by designers of healthy housing, especially by those who study and practice Baubiologie, but the term itself is used in an imprecise manner in the English language. A review of the lay literature shows that there is considerable confusion about what constitutes a "breathing" wall, and how they work to improve IAQ.

Although "breathing" implies airflow, this is not necessarily the case. In much of the scientific literature, the term simply means that a material or assembly is both open to vapour diffusion and hygroscopicÜ. In essence, this combination of properties allows a significant amount of water vapour (and other gases) to be adsorbed and released quickly, thereby regulating the room climate and hence indoor air quality.

Although other gases will also diffuse through walls (exchanging CO2 and oxygen for example), water vapour is one of the primary determinants of a healthy room climate and, as such, is often the primary gas that breathing walls are designed to adsorb. In most healthy houses built using the principles of Baubiologie, the design of the enclosure and interior partitions is based on ensuring water vapour breathability (Krusche et al 1982, Kuenzel 1980).

"Air open" or "dynamic" walls that allow slow and controlled airflow through them are considered by some to be the ideal breathable wall. Research, however, does not support this contention (Kuenzel 1980). While several dynamic wall houses have been built in Canada (Timusk 1987), and Sweden (Levon 1986) such houses require special design and all successful dynamic wall homes have used mechanical means to provide the required level of ventilation flow control. The design goal of these houses is usually a reduction in conductive and exfiltration energy loss (which they can achieve). They do not necessarily improve IAQ, other than by ensuring good ventilation (Taylor et al 1997).

Research Program

The hygrothermal performance of several different enclosure wall systems was studied in some depth with the support of a consortium of seven building product manufacturers (Straube and Burnett 1997). The study involved theoretical investigations, laboratory tests, and the monitoring of moisture and temperature conditions within 26 full-scale test walls. The test walls were instrumented, mounted in the University of Waterlooís natural exposure and test building, and monitored for two years at 5 minute intervals while exposed to the natural environment of South-western Ontario.

Durisol, a member of the research consortium, has been producing cement-bonded wood-fibre based building products around the world for more than 50 years. As part of the larger study, Durisol was interested in the reasons for the healthy performance of their products and how the properties of cement-bonded wood fibre composites provided this performance. An additional objective was an explanation of the long history of satisfactory performance of Durisol walls even when no polyethylene vapour retarder was installed. The moisture-related performance of the Durisol material was examined and several test walls made of Durisol panels and the insulated concrete form system. Some of the results of this investigation are presented in this paper.

Cement-bonded wood fibre building products have been used for years because of their beneficial impact on a healthy indoor climate. For example, the Norwegian firm Cobolt Architects uses cement-bonded wood fibre for entire wall and roof constructions, often cladding the inside and out with ventilated wood boards [Pearson 1989]. Strawbales have similar properties, and have also been used in Norway by Dag Roalkvam of Gaia Architects (Lacinski 1996). Dale Bates, a west coast architect specialising in healthy housing, has used cement-bonded wood-fibre based insulated concrete forms in several dozen homes.

Material Properties

Durisol is a composition of natural raw materials; specially-graded recycled wood particles are neutralised and mineralised before being bonded together with cement. It can be moulded to form any shape and compressed to provide the desired mechanical and thermal properties. Hardened Durisol is lightweight, porous, insulating, exceptionally fire-resistant, termite proof, and very durable, even under harsh environmental conditions. Durisol with a dry density of 500 kg/m3 (30 pcf) has a thermal resistance is about RSI7.0 per m, (R1.75 per inch).

Healthy Properties

Since Durisol is made of inert and natural materials it obviously does not offgas.

Durisol also has properties that reduce the potential for fungal growth on its surface. After reaction with atmospheric carbon dioxide, the pH is approximately 10 (e.g. it is alkaline). Upon delivery, the pH is even higher, so the alkalinity is highest when the product is still wet from production and construction. This level of alkalinity makes the growth of fungi and even viruses virtually impossible. It is for this same reason that lime was historically used to whitewash buildings and stables. (In fact, this practice continues today in dairy barns and other installations where good hygiene is critical).

The same reasoning applies to interior finishes. Lime and cement-based plasters are alkaline enough that mould growth is stymied, and their breathable properties reduce the likelihood that sufficient moisture will be available for growth in any event. Durisol is also an ideal substrate for plasters, allowing cost savings by eliminating the need for wire mesh or laths with paper backings.

Moisture Properties

The moisture transport and storage properties of Durisol are an interesting and unique mix of vapour permeability and vapour storage capacity. The only other "structural" material which behaves in a similar manner is compacted straw, although straw, unlike Durisol, has potential fire, moisture, and insect problems. When compared to other common building materials (Figure 1) the vapour permeability (i.e., the permeance per unit thickness of material) is clearly much higher.

The sorption isotherm of some common building materials is plotted in Figure 2. The sorption isotherm, a plot of the equilibrium moisture content of a material versus the relative humidity, is a direct measure of the hygroscopic nature of a material. Again, Durisol behaves in a different manner than many materials. As the humidity climbs from 30% (relatively dry air) to over 70% (a high value), Durisol adsorbs more than 7% of its dry mass in water vapour. Strawbale walls are expected to behave in a similar manner.

Figure 1: Water Vapour Permeance of Various Building Materials (Larger version)

 

 

Figure 2: Sorption Isotherm for Various Building Materials (Larger version)

 

Dynamic Hygric Response

A recent multi-year study concluded that short-term RH peaks of a buildingís air can support fungal growth, even though the average conditions are well below the threshold for fungal growth, e.g., 70 to 80% RH (Adan 1994). For example, the simple act of boiling water for cooking creates a significant short-term rise in humidity near the kitchen. After the interior RH has dropped, the fungi can continue to grow for some time using moisture stored within the fungi.

The speed with which a wall surface can absorb moisture is important for avoiding surface condensation and surface relative humidities required to support fungal growth. Materials with a combination of the properties of vapour permeability and high hygroscopicity allow that material to quickly moderate humidity variations by storing or releasing significant quantities of water vapour. A vapour tight finish on walls allows the surface relative humidity to climb to the level where fungal growth can be sustained.

If a material can quickly adsorb moisture from the air, this material will maintain the RH at its surface at a lower and more stable level while also moderating short-term interior air humidity variations. The dynamic hygric response of several wall systems was studied with the aid of computer modelling and field measurements. The results are presented below.

Modelling Hygric Response

Using a sophisticated computerised finite element package (developed by Kuenzel, 1997) the amount of moisture released into a room by several different wall systems was calculated. The program is one of the most advanced in the world (it considers different moisture diffusivities for suction and redistribution, surface diffusion, capillarity, vapour diffusion, etc.).

Each of the assemblies modelled comprised a 200 mm layer of material. Some of the walls were finished with lime plaster, others with gypsum drywall and various paints. Material properties were taken from manufacturerís data and various sources (ASHRAE 1997, IEA 1997). The simulation considered a wall and room initially at 30%RH followed by an instantaneous rise in room air moisture content to 80%RH. Over the period of a week the simulation calculated the water vapour balance every 15 minutes.

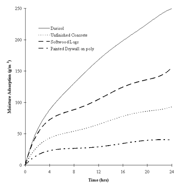
Figure 3 plots the moisture adsorption of four walls for the first 24 hours. All of the systems responded in a similar manner, but the speed of response differed considerably. The initial response was fast, followed by a slow exponentially decaying period. Because the shape of the response curves are similar, the results can be usefully summarised and wall systems approximately ranked: see Table 1.

Figure 3: Calculated hygric response of four wall systems to a 50%RH change (Larger version)

 

Table 1 shows that there is a large difference between the behaviour of some common wall systems. The plastered Durisol insulated concrete form system and strawbale wall provide about 8 times more vapour control to the indoor environment than the walls used in a typical modern home, and 25 times that of a modern motel room with vinyl wall paper. While the above results do not attempt to exhaustively rate each assembly (the more complex discussions and calculations necessary for this are beyond the scope of this paper), it does provide a relative ranking which clearly shows the problems associated with the use of the most common modern building systems.

The simulation results also showed the clear superiority of lime-based plasters over pure cement-based plaster. The hygroscopic and highly vapour permeable nature of lime plaster provides a very fast response (i.e., several minutes) to changes in the vapour content of the interior air. Substrates like Durisol, strawbales, and brick provide much more moisture storage, storage which participates at longer time scales (i.e., several hours). The worst possible finish is a high-grade vinyl wall, which not only off-gases VOCís but also returns vapour adsorption values of less than about 10.

Rating Assembly Description

[g/m2]

<10 Any system with vapour retarding paint (including oil based) or "high- quality" vinyl wall paper

40 Painted gypsum drywall on poly on wood frame, primer + 2 coats latex

90 Concrete, unfinished

110 Modern extruded brick, unfinished

150 Softwood logs, unfinished

240 Strawbale wall with 1" lime plaster

250 Durisol WallForm 20 System, finished with 12.5 mm lime plaster

 

Table 1: Water vapour absorbed in 24 hours by walls exposed to a 50%RH change

Consider a room with exterior walls that cover 20 m2 of its 3 x 5 meter, 37.5 m3 volume. Air at 20 ºC and 50%RH contains about 8.7 g/m3. If 200 g of water (about 6.75 fluid ounces) were to be injected into the air, by human metabolism, cooking, etc., the moisture content of the air would rise by 200 g / 37.5 m3 = 5.3 g/m3 and the humidity of the air would rise to above 80%RH. If the source of vapour is cooking or a shower, the water would be quickly injected into the air, and the RH at the surface of any cool exterior wall (in this case any surface cooler than 16 ºC) would reach 100%. If the exterior walls of a room were able to absorb this moisture, i.e., 200 g / 20 m2 = 10 g/m2 of wall area, the RH within the room would be maintained, and the surface RH would remain below the threshold for fungal growth. This amount of moisture adsorption is easily and quickly (less than one hour) possible for walls rated over about 150 in Table 1; it is not possible for walls rated less than about 50. If all of the roomís walls were breathing walls, the response would be even faster and more powerful.

Outdoor air at 80%RH and 0 ºC contains about 3.9 g/m3. If the room in the previous example were ventilated at one air change per hour with outdoor air, approximately 37.5 m3 x (8.7 - 3.9) = 180 g of moisture would be removed by ventilation. Thus, ventilation is just as powerful a means of controlling indoor air moisture content as breathable walls. In buildings made with vapour tight walls, ventilation becomes the most important means of vapour control. Ventilation, however, cannot always guarantee moisture removal in the corners of rooms, behind furniture, etc. Ventilation is always necessary because it aids in the removal of other pollutants and delivers oxygen to a room faster than diffusion. Unfortunately, controlling ventilation requires mechanisms (electronics and fans) and/or proper occupant control.

Hygroscopic, "breathable" walls operate automatically, require no energy and cannot break down. Such walls can also react much more quickly than ventilation. Ventilation and breathing walls are likely best used as complementary techniques for ensuring IAQ.

Field Measurements of Hygric Response

Although computer modelling can be a powerful tool, field measurements are always the best and most reliable means of testing theory. A total of ten different wall types were part of the research program. Space limitations allow for the comparison of only two -- the Durisol Insulated Concrete Form system and a well-built, highly insulated steel stud wall system, both clad with brick veneer. Simplified horizontal sections of the walls are shown in Figure 4.

Wall B clearly contains more thermal mass and a large amount of vapour storage. However, another major difference was the use of a vapour barrier. The Wall A used a sheet of 6 mil polyethylene (0.06 US perms, 3.4 ng/Pa/s/m2 ) behind the drywall finish. Wall B used an unpainted sheet of drywall only -- unpainted drywall is very vapour permeable (over 20 US perms or 2000 ng/Pa/s/m2). To create a potentially dangerous situation, 51 mm of extruded polystyrene insulation (vapour resistant) was placed outside of Wall B, and the drywall was left unpainted to "trap" vapour in the wall. Vapour permeable plasters or recycled rockwool insulation is typically recommended outside of Durisol walls, or thicker, more highly insulated forms are specified.

 

Figure 4: Horizontal section of test walls (schematic)

Figures 5 and 6 plot the relative humidity measured in the Wall A and B respectively over the winter period (from 961031 to 970331. The maximum and the minimum 15 minute average values for each day have been plotted from the data collected at 5 minute intervals. The interior of the test house was carefully maintained at 21 ºC ±1 ºC and 50% ±5%RH over the entire period. This is a higher RH than most houses but is representative of many commercial building environments.

A comparison of the two plots clearly shows the humidity moderating effect within the Durisol material of Wall B. Over the entire heating period, the daily RH variation (i.e., maximum less minimum) was 15.3% for Wall A and only 2.6% for Wall B.

An inspection of the relative humidity measurements in Wall B also shows that they never approached levels at which condensation might occur, even though there was no vapour retarder on the warm side of the wall, and despite a relatively impermeable outer sheathing. This data was collected over a winter in which the outdoor temperature dropped below -20 ºC (-4 ºF) several times. In fact, Wall A with a polyethylene retarder exhibited far more chance of condensation than Wall B. If the drywall had been painted, the Durisol plastered, or the EXPS sheathing replaced with a more vapour permeable material, the RH in Wall B would have been even lower.

Figure 5: Maximum and minimum relative humidity in Wall A (Larger version)

 

Wall B also exhibited much higher summertime RHís because of vapour flow from the outdoors to the indoors. The polyethylene trapped this vapour within Wall A. These inward vapour drives have been found to be a problem in many walls, especially in climates similar to or warmer than South-western Ontario (Straube and Burnett 1995).

 

Figure 6: Maximum and minimum relative humidity in Wall B (Larger version)

Conclusions

The indoor air quality of a building directly impacts the health and productivity of its occupants. There are several design strategies that can be used to deliver good IAQ. Controlled ventilation, proper design, occupant behaviour, and the use of appropriate healthy building materials within a holistic design approach can provide good indoor air quality. As part of a complete IAQ design strategy, so-called breathing walls can moderate indoor humidity and practically eliminate the potential for fungal growth on building surfaces.

The properties of the Durisol cement-bonded wood fibre material, like strawbale, are ideal for use in breathing walls because of their combination of vapour permeable and hygroscopic properties.

The results from the field monitoring demonstrated both the humidity moderating effect and the fact the no polyethylene vapour barrier is required in such walls.

References

Adan, O., On the Fungal Defacement of Interior Finishes, Ph.D Thesis, Eindhoven University of Technology, Eindhoven, Netherlands, 1994.

ASHRAE, 1997. 1997 ASHRAE Handbook - Fundamentals, Atlanta: American Society of Heating Refrigerating, and Air-Conditioning Engineers, Inc.

Baggs, S. and J., The Healthy House: the Gaian approach to creating a safe healthy and environmentally friendly home, Harper & Collins, Sydney, 1996.

Bower, J., Healthy House Building, The Healthy House Institute, Unionville, Indiana, 1993.

Fisk W. and Rosenfeld A., "Improved Productivity and Health from Better Indoor Environments", Center for Building Science Newsletter, Lawrence-Berkeley Labs, Summer, 1997.

International Energy Agency. Report Annex 24, Task 1: Hygrothermal Properties of Building Materials. ed. M.K. Kumaran, 1997.

Krusche, P, Weig-Krusche, M., Althaus, D., Gabriel, I., Oekologisches Bauen, Bauverlag, Berlin, 1982.

Kuenzel, H., "Muessen Aussenwaende ëatmungsfaehigí sein?" wksb, Nov., 1980, pp. 1-4.

Kuenzel, H.M., WUFI V2.0 - Simultaneous Heat and Moisture Transport in Building Components, Fraunhofer Institute for Building Physics, August 1997.

Levon, B.-V., "Experimentbyggnade i Norden", Swedish Council for Building Research, Report T5, 1986, pp. 158-160.

Marinelli, J. and Bierman-Lyle, P., Your Natural Home. Little, Brown, & Co., Boston, 1995, pp. 81-84.

Pearson, D., The Natural House Book, Simon & Schuster/Fireside, New York, 1989.

Roodman, D.M., and Lenssen, N., A. Building Revolution: How Ecology and Health Concerns are Transforming Construction. World Watch Institute, Washington, D.C., 1995.

Rousseau, D., Rea, W.J., Enwright, J. Your Home, Your Health, and Well-Being. Hartley & Marks, Vancouver, 1989.

Scanada Consultants, Mould in Finished Basements, Report for Canada Mortgage and Housing Corporation, Ottawa, 1995.

 

Significance of Fungi in Indoor Air: Report of a Working Group. Health & Welfare Canada, Ottawa, 1987.

Straube, J.F. Burnett, E.F.P.. In-Service Performance of Enclosure Walls. Volume 1: Summary Final Report. Building Engineering Research Report: University of Waterloo, 1997.

Straube, J.F., and Burnett, E.F.P., "Moisture Movement in Building Enclosure Wall Systems", Proceedings of the Thermal Performance of Building Envelopes VI, Clearwater Beach Florida, December 4-7, 1995, pp. 177 - 188.

Taylor, B J, Webster, R., Imbabi, M.S., "The use of dynamic and diffusive insulation for combined heat recovery and ventilation in buildings", Building Environmental Performance Analysis Club, Proceedings of Sustainable Building Conference, Feb 5-6, 1997, Abingdon, UK, pp. 168-174.

Timusk, J, "Design, Construction, and Performance of a Dynamic Wall House", Presented at AIVC Conference, Sept 24, 1987, Ueberlingen, Germany.

Turpin, B. " sdg" ASHRAE Summer Meeting, 28 June- 2 July, 1997.

van Vliet, J., Building Materials for the Environmentally Hypersensitive, Canada Mortgage and Housing Corporation, Ottawa, 1995.

Lacinski, P., "Breathing Wall", The Last Straw - the journal of strawbale construction, Spring 1996.



 
  All Oikos pages copyright 1996 - 2007, Iris Communications, Inc.